MDA

  • Views Views: 991
  • Last updated Last updated:
  • Sub-pages:

    MDA Guide

    General Information

    MDA (3,4-methylenedioxyamphetamine) is a synthetic psychoactive compound in the phenethylamine and amphetamine families. It contains an aromatic benzene ring with a 1,3-dioxole bridge (–O–CH₂–O–) across the 3,4-positions, attached to an alpha-methylphenethylamine side chain. This structure makes MDA a derivative of amphetamine and a close relative of MDMA (3,4-methylenedioxymethamphetamine). MDA is chiral, existing as two enantiomers (R and S), each with slightly different effects. It was first synthesized in 1910 by chemists Carl Mannich and W. Jacobsohn and later studied in the 1960s and 1970s for its entactogenic (empathy-enhancing) and psychedelic effects. In most countries today MDA is a controlled substance (typically Schedule I) with no approved medical use. It is encountered primarily as a recreational drug, sometimes sold as “ecstasy” or as a substitute for MDMA. Despite its illicit status, MDA’s unique mix of stimulant, empathogenic, and mild psychedelic properties has made it of scientific interest in neuropharmacology.

    MDA Hydrochloride

    MDA Hydrochloride

    MDA Chemical Properties

    MDA’s molecular formula is C₁₀H₁₃NO₂ (molar mass ~179.2 g/mol). Its chemical name is 1-(1,3-Benzodioxol-5-yl)-2-propanamine. The core structure is an amphetamine skeleton (alpha-methylphenethylamine) with a methylenedioxybenzene ring. Chemically, MDA contains: a benzene ring substituted at adjacent carbon positions by a bridging –O–CH₂–O– group (the methylenedioxy moiety), an alpha (α) methyl group on the side chain, and a primary amine (–NH₂) at the terminal of the propyl chain. The presence of the α-methyl makes it an amphetamine (rather than just phenethylamine) and the ring substitution classifies it among the methylenedioxyamphetamines (MDxx).

    Chemical Structure of MDA

    Chemical Structure of MDA

    Key chemical data include:

    • Molecular weight: ~179.2 g/mol.

    • pKa of the amine: ~9.7 (for the conjugate acid), indicating that at physiological pH (~7.4) the amine is largely protonated (positively charged). This influences its solubility and how it interacts with transporters in the body.

    • Enantiomers: There are two mirror-image forms, (R)-MDA and (S)-MDA. The racemic mixture is commonly encountered illicitly. The (S)-enantiomer tends to be more stimulatory, whereas (R)-MDA shows somewhat stronger psychedelic and empathogenic effects at high doses. Each enantiomer has distinct binding affinities to neurotransmitter systems.

    MDA melting point

    MDA melting point

    Chemically, MDA is stable under neutral conditions but can be oxidized over time if exposed to heat, light, or moisture. It can be stored either as the freebase (neutral amine) or as its hydrochloride salt. The hydrochloride salt (MDA·HCl) is more stable and readily soluble in water, making it easier to handle and dose accurately. The freebase is less polar and can exist as an oily liquid, whereas the salt is a solid crystal. MDA is not known to form any metal complexes and does not have significant polymorphism issues beyond base vs. salt forms.

    MDA Physical Properties

    In its pure form, MDA freebase is typically a colorless to pale yellow oily liquid at room temperature. The hydrochloride salt (MDA·HCl) forms white or off-white crystalline powder or granules. The salt has a relatively low melting point (often reported in the 150–160 °C range for the hydrochloride). MDA freebase has a relatively low melting point (on the order of 0 °C or below, often reported as an oily liquid at room temperature) and a boiling point under vacuum in the range of roughly 150–160 °C (at reduced pressure).

    Important physical properties:

    • Appearance: Freebase is oily/viscous; HCl salt is solid (crystalline white to tan).

    • Density: The solid salt has a density around 1.1–1.2 g/cm³. The freebase, being oily, has similar density to most organics (~0.9–1.1 g/cm³).

    • Solubility: The HCl salt is highly soluble in water (since the amine is protonated). The freebase is poorly soluble in water but soluble in organic solvents (e.g. ethanol, diethyl ether, chloroform).

    MDA Solubility

    MDA Solubility

    • Odor/Taste: MDA freebase has a pungent odor, often described as similar to other amphetamines (sharp, chemically). It tastes very bitter.

    • Stability: At room temperature (20–25 °C) and in solid form, MDA·HCl is stable for long periods if kept dry and away from light. The freebase, being oily, can slowly oxidize or polymerize on air exposure over years, but it is generally stable. In solution (e.g. blood or aqueous media), MDA remains stable at low temperatures (-20 °C) for weeks to months without significant decomposition. Higher temperatures or light exposure can lead to gradual degradation (oxidation of the amine or ring).

    MDA is not hygroscopic to a large extent, but as a hygroscopic amphetamine derivative, it should be stored in a cool, dry place. Standard chemical guidelines suggest storing it in an airtight container, protected from light, with a desiccant if humidity is an issue. The freebase, being volatile, is best stored cold and sealed; the HCl salt can be kept at refrigerator temperatures (2–8 °C) for long-term storage. In biological matrices (like blood or urine for testing), MDA remains detectable and relatively unchanged for several weeks under frozen conditions, confirming its chemical stability under proper storage.

    MDA Synthesis Ways

    The synthesis of MDA can be achieved by several routes. Two major approaches are known in the chemical literature and clandestine chemistry: (1) via the intermediate 3,4-methylenedioxyphenyl-2-propanone (MDP2P) followed by reductive amination, and (2) via a nitrostyrene intermediate followed by reduction. General synthetic routes include:

    Safrole → Isosafrole → MDP2P → MDA: Safrole (a natural oil from sassafras) can be isomerized to isosafrole (alkene rearrangement) and then oxidized (e.g. by peracids or the Wacker process) to yield MDP2P (also called piperonyl methyl ketone or PMK). MDP2P is a prochiral ketone. A reductive amination of MDP2P via 1-(benzo[d][1,3]dioxol-5-yl)propan-2-one oxime yields MDA. In a single synthetic scheme:

    Scheme MDA Synthesis from MDP2P

    Scheme MDA Synthesis from MDP2P

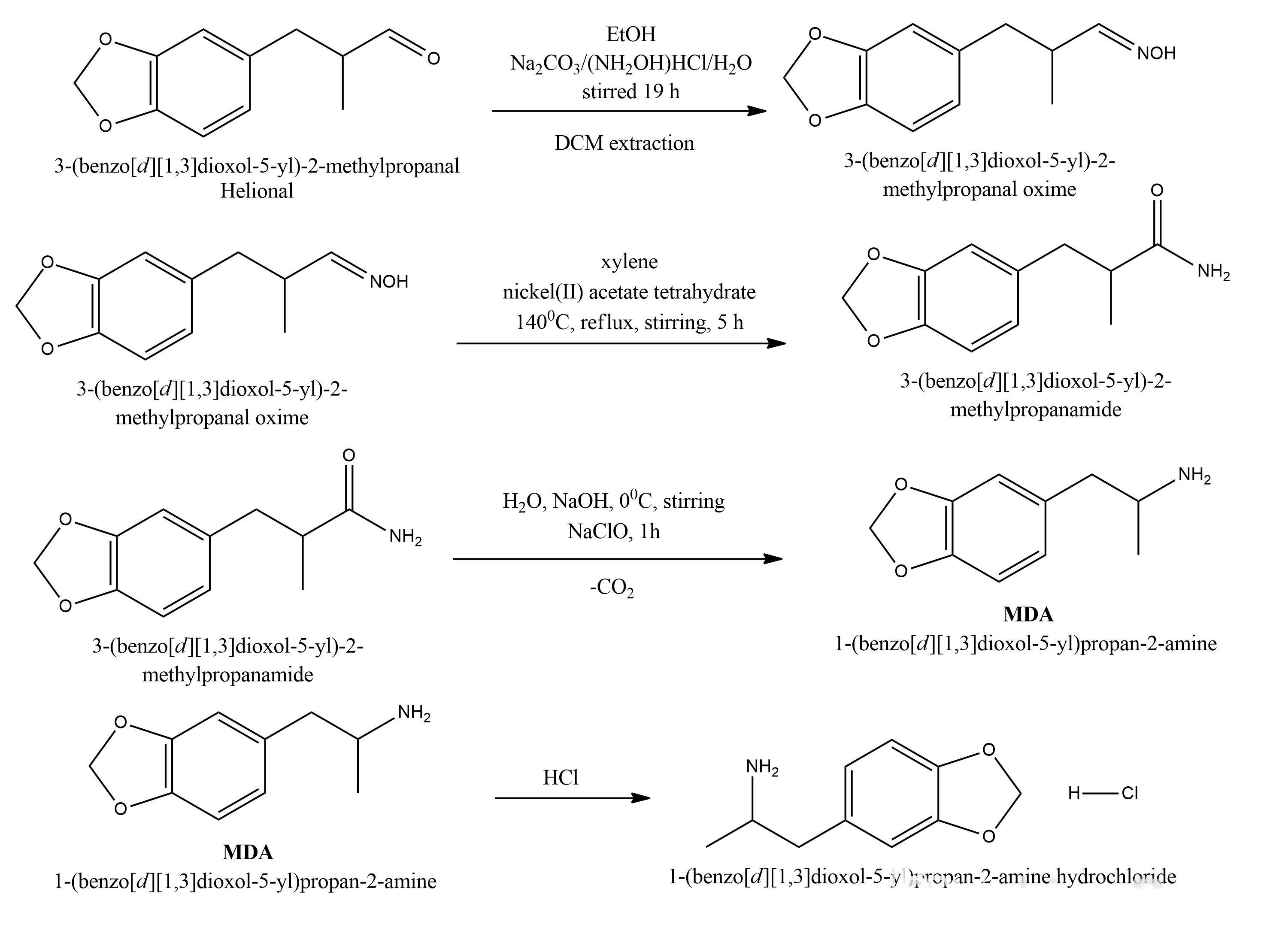
    One of the main OTC methods is the synthesis of MDA from helional by reducing it to a-methyl-1,3-benzodioxole-5-propanal oxime, followed by the production of MDA through a-methyl-1,3-benzodioxole-5-prooanamide.

    Scheme MDA Synthesis From Helional

    Scheme MDA Synthesis From Helional

    Nitropropene route (Henry reaction): Piperonal (3,4-methylenedioxybenzaldehyde) can be condensed with nitroethane in the presence of a base (e.g. ammonium acetate) to form 3,4-methylenedioxy-β-nitrostyrene. This nitroalkene intermediate is then reduced (for example by catalytic hydrogenation with Pd/C, or by using classic way by LiAlH4) to yield MDA. This route avoids the ketone intermediate:

    Scheme MDA Synthesis from MDP2NP

    Scheme MDA Synthesis from MDP2NP

    Other methods: Published routes in the chemical literature (and clandestine sources) mention about 20 variations. These include the Hofmann rearrangement of safrole-derived amides, or using piperonal-derived phenylacetic acids. Some methods start from allyl benzene derivatives and involve various oxidation/reduction sequences. A few routes involve intermediate α-bromopropiophenones that are aminated. In any case, a common theme is generating the proper 3,4-methylenedioxy-phenyl-2-carbonyl or -2-nitro compound, then introducing an amino group.

    In summary, MDA synthesis typically proceeds via constructing the 3,4-methylenedioxyphenylpropanone (or equivalent) and then converting the carbonyl to an amine. The key reagents are safrole or piperonal as the aromatic precursors, and reduction conditions to form the primary amine. Each step requires careful conditions (temperatures, catalysts, pH) to maximize yield and selectivity. The final product MDA is usually isolated as the freebase and then converted to the hydrochloride salt by bubbling HCl gas or adding a solution of HCl in ether, which precipitates crystalline MDA·HCl.

    MDA Effects and Dosage

    Dosage: The active oral dose range of MDA in adults is generally higher than that of MDMA. A typical recreational dose of racemic MDA is roughly 80–145 mg. Lower doses (e.g. 30–60 mg) may produce mild effects. Doses above ~200 mg increase the risk of adverse effects and tend to produce intense psychedelic experiences. The effective dose threshold depends on individual sensitivity, body weight, and tolerance. MDA is often taken in capsule or tablet form, although some users will weigh and measure the freebase.

    Onset and Duration: After oral ingestion, MDA has a moderate onset. Effects typically begin 30–60 minutes after swallowing, as the drug is absorbed through the digestive tract. Peak blood levels and maximum effects occur around 2–3 hours after ingestion. The overall duration of subjective effects is about 6–10 hours (commonly ~6–8 hours), followed by a tapering afterglow that can last a few more hours. This is somewhat longer than the duration of MDMA (which is often 4–6 hours), meaning MDA events often extend into a longer night or overnight experience.

    Qualitative Effects: MDA’s psychoactive effects combine stimulant, empathogenic/entactogenic, and mild psychedelic qualities. Typical effects include:

    • Euphoria and Mood Elevation: Users often feel a strong uplift in mood and well-being. There is typically a sense of happiness, joy, or exhilaration.

    • Empathy and Sociability: MDA is classically called an entactogen (meaning “touching within”). It enhances feelings of closeness, empathy, and emotional openness. People often report increased affection, talkativeness, and bonding with others. This is similar to MDMA but is often described as deeper or more introspective.

    • Sensory Enhancement: Colors may appear brighter or more vivid, and sounds (especially music) can be more engaging. MDA can produce mild closed-eye visual effects, patterns, and a gentle sense of altered sensory perception. It is more hallucinogenic than MDMA, though still relatively mild compared to classic psychedelics (like LSD or psilocybin). At higher doses, faint open-eye visual distortions may occur.

    • Stimulation: Physiologically, MDA acts as a moderate stimulant. Users feel increased energy, alertness, and physical activity. Heart rate, blood pressure, and body temperature can all rise. Unlike strong amphetamines, MDA’s stimulant effects are usually not overwhelming, but they are noticeable. Muscle tension or restlessness can occur.

    • Psychedelic/Mystical Quality: At higher doses (especially above 150–200 mg), MDA’s effects can become more introspective and psychedelic. Thoughts may intensify, and some users describe experiencing spiritual or mystical feelings. Complex imagery (on closed eyes) can be more pronounced, and in rare cases, there can be brief episodes of confusion or mild hallucination. These psychedelic aspects are stronger for the (R)-enantiomer; racemic MDA has moderate psychedelic action.

    • Aftereffects: As the primary effects wane, some users experience an “afterglow” of lingering well-being or mild stimulation for several hours. After 12–24 hours, mood and energy usually return to baseline. However, like other serotonin-affecting drugs, there can be a rebound dip in mood or energy as neurotransmitter levels (especially serotonin) recover.

    Adverse Effects: Common side effects include: loss of appetite, mild nausea (especially at onset), jaw clenching or teeth grinding (bruxism), slight tremors, and pupil dilation. Cardiovascular stimulation can cause palpitations or sweating. If taken in excessive amounts, MDA can cause anxiety, panic, confusion, or paranoia (especially if sleep-deprived or in a stressful environment). Body temperature elevation can be significant if used in hot environments or with physical exertion. Dehydration and electrolyte imbalance are risks in dancing or club settings. At very high doses, sympathomimetic toxicity can lead to dangerous hypertension, seizures, or serotonin syndrome (a toxic excess of serotonin in the brain and body). Because MDA causes significant serotonin release, excessive use or combination with other serotonergic drugs can result in serotonin syndrome, which requires medical attention.

    Patterns of Use: MDA is primarily consumed orally. Some users also snort the hydrochloride (if powdered), but this increases irritant effects and shortens the duration. Injection or smoking are rare and dangerous. Tolerance to MDA’s subjective effects builds quickly; taking it multiple days in a row produces much weaker effects. Psychologically, users often “extend” experiences by taking a booster dose of about 25–50 mg a few hours after the first dose, prolonging the effects without a full additional dose.

    Pharmacology of MDA

    MDA’s actions in the body are largely due to its interactions with the brain’s monoamine neurotransmitters (serotonin, dopamine, and norepinephrine). Its pharmacological profile is similar to MDMA but not identical. The major points include:

    • Monoamine releasing agent: MDA acts as a releasing agent for serotonin (5-HT), dopamine (DA), and norepinephrine (NE). It enters nerve terminals (neurons) through transporter proteins (SERT, DAT, NET) and prompts the release of these neurotransmitters into the synaptic cleft. This massive release is what causes MDA’s emotional and energetic effects. In particular, serotonin release underlies the empathy, mood lift, and mild psychedelic qualities; dopamine release contributes to euphoria and increased energy; and norepinephrine causes stimulant effects like alertness and increased heart rate. Quantitatively, MDA has high potency to release serotonin and significant, but somewhat lower, activity on dopamine and norepinephrine release.

    • Reuptake inhibition: In addition to releasing transmitters, MDA also blocks reuptake (to a lesser extent than classic stimulants). By occupying the transporters, it prolongs the presence of serotonin, dopamine, and norepinephrine in the synapse. Together with release, this reuptake block amplifies and extends neurotransmitter signaling.

    • Serotonin receptor agonism: Unique among many amphetamines, MDA is a partial agonist at certain serotonin receptor subtypes, notably the 5-HT₂A receptor. This direct receptor activation contributes to its psychedelic/visual effects. Activation of 5-HT₂A (the same receptor that LSD strongly stimulates) can induce mild hallucinations and altered consciousness. MDA also has affinity for 5-HT₂B and 5-HT₂C receptors, but the functional role of these is less clear. Overall, the direct agonism at 5-HT₂A is one reason MDA feels more “psychedelic” than MDMA (which is more purely a releaser).

    • Trace amine-associated receptors: MDA interacts with TAAR1 (trace amine-associated receptor 1), a receptor that modulates monoamine activity. MDA is a relatively high-efficacy agonist at rodent TAAR1, but in humans it is much weaker. Activation of TAAR1 can dampen monoamine release as a feedback mechanism, so MDA’s weak effect at human TAAR1 may reduce such negative feedback, allowing its effects to last longer.

    • Metabolism: After administration, MDA is metabolized mainly in the liver. Enzymes such as CYP2D6 dealkylate it (removing methyl groups) and deaminate it. Metabolic pathways produce compounds like HHA (3,4-dihydroxymethamphetamine) and HHMA (3,4-dihydroxyamphetamine) among others. Some metabolites (e.g. HHA) are pharmacologically active and can prolong effects. A portion of MDMA (if co-ingested) is converted to MDA in the body as well. MDA and its metabolites are primarily excreted in the urine; the elimination half-life is relatively long (about 10–11 hours), which explains the extended duration. Only trace amounts of MDA are found unmetabolized in urine over 24 hours.

    • Enantiomer differences: The (R)-MDA enantiomer tends to have stronger hallucinogenic/prosocial effects, whereas (S)-MDA is somewhat more stimulant. In practice, most street MDA is a racemic mix, so users feel a combined effect.

    Overall, MDA’s pharmacology – robust serotonin release combined with some 5-HT₂A agonism – accounts for its combined entactogenic and mildly psychedelic nature. The strong catecholamine release (dopamine/norepinephrine) component accounts for its physical stimulation and cardiovascular effects. Because of these mechanisms, MDA can be neurotoxic in high doses or with repeated use: animal studies show MDA can damage serotonin neurons in the brain (similar to MDMA) due to oxidative stress from excessive serotonin release and its metabolites. This is not normally a factor in occasional human use, but it underscores the importance of cautious dosing.

    MDA Storage

    Proper storage of MDA (in a laboratory or other setting) is important to maintain its stability and potency. Key points for storage:

    • Form: MDA is often stored as the hydrochloride salt, which is a stable crystalline solid. This salt form is less prone to degradation than the freebase. The freebase (liquid) should be handled less frequently and kept sealed.

    • Temperature: MDA·HCl should be kept in a cool environment. Refrigeration (2–8 °C) is recommended for long-term preservation. Even at room temperature (~20–25 °C), MDA·HCl is quite stable (on the order of months to years), but cooler storage extends shelf life. The freebase, being a liquid, should ideally be stored in a freezer if not used immediately, as it can slowly evaporate or oxidize at higher temperatures.

    • Moisture and Air: Both forms should be kept dry and in airtight containers. Exposure to moisture or air for prolonged periods can cause gradual decomposition (especially hydrolysis of the methylenedioxy ring or oxidation of the amine). Including a desiccant packet in the storage container is prudent. Vacuum-sealing or inert gas (nitrogen) can further protect against oxidation if ultimate stability is needed.

    • Light: MDA is light-sensitive to some degree. Ultraviolet light can induce decomposition. Therefore, it should be stored in opaque or amber bottles, or in a dark cupboard, away from direct light.

    • Container material: Glass is preferred to plastics (some plastics may leach or absorb alkaloid substances). A well-sealed glass bottle or vial with a tight cap (preferably PTFE-lined) is ideal.

    Studies show that MDA (along with MDMA and MDEA) remains chemically stable for weeks when stored cold and dark, even in complex matrices like blood serum or urine. This suggests that if kept dry and at low temperature, the pure drug will remain unchanged for many months with only minor loss. In normal practice, storing MDA similar to other pharmaceutical amphetamines (e.g., amphetamine sulfate, ephedrine) is sufficient: a cool, dry, dark place out of reach of direct heat or light.

    Conclusion

    Overall, MDA remains a compound of interest in both scientific study and recreational contexts. Scientifically, it provides knowledge into how slight chemical modifications of amphetamines alter subjective and neurochemical profiles – MDA’s extra methylenedioxy bridge and lack of N-methyl group make it a distinct agent. Pharmacologically, it has contributed to knowing serotonergic and empathogenic drug action. While its therapeutic use was largely abandoned due to legal restrictions and toxicity concerns, MDA’s existence helped pave the way for the examination of MDMA and other entactogens in psychotherapy research. In pharmacology and neuroscience, MDA serves as a model compound illustrating the relationships between molecular structure, receptor interactions, and complex behavioral effects.

    Bibliography

  • Loading…
Top