1-Naphthalenecarbonyl Chloride

  • Views Views: 4
  • Last updated Last updated:
  • 1-Naphthalenecarbonyl Chloride

    Abstract

    1-Naphthoylchloride, featuring the functional group −C(=O)Cl, is a key component in numerous organic syntheses and plays a crucial role in the synthesis of JWH derivatives. This comprehensive article provides an extensive overview of 1-naphthoylchloride, covering its general information, physico-chemical properties, detailed chemical information, synthesis methods, insightful conclusions, and a comprehensive bibliography.

    General Information About 1-naphthoylchloride

    Other synonyms names of 1-naphthoylchloride are: 1-(Chlorocarbonyl)naphthalene; 1-Naphthalenecarbonyl chloride; 1-naphthalenecarboxylic acid chloride; 1-naphthaloylchloride; 1-Naphthoic acid chloride; 1-naphthylcarbonyl chloride; alpha-Naphthoyl chloride

    • IUPAC Name of 1-naphthoylchloride: naphthalene-1-carbonyl chloride
    • CAS number is 879-18-5

    Physico-Chemical Properties of 1-naphthoylchloride

    • Molecular Formula C11H7ClO

    • Molar Weight 190.62 g/mol

    Boiling points

    • 118 °C / 0.1 mm (436.75 °C / 760 mmHg) Alfa Aesar

    • 120 °C / 2 mmHg (335.9846 °C / 760 mmHg) Manchester Organics

    • 190 °C / 35 mmHg OU Chemical Safety Data

    • 118 °C / 0.1 mm (436.75 °C / 760 mmHg) Alfa Aesar

    • 190 °C / 35 mmHg (322.1218 °C / 760 mmHg) Sigma-Aldrich

    • 120 °C / 2 mm (335.9846 °C / 760 mmHg) Oakwood

    Melting Points

    • 16-19 °C Alfa Aesar

    • 16-19 °C Manchester Organics

    • 26 °C OU Chemical Safety Data

    • 18 °C Jean-Claude Bradley

    • 26 °C Jean-Claude Bradley

    • 16-19 °C Alfa Aesar

    • 16-19 °C Sigma-Aldrich

    • 16-19 °C Oakwood

    • Refraction index 1.6525 Alfa Aesar and 1.652 Sigma-Aldrich

    • Density 1.265 g/mL Alfa Aesar and 1.265 g/mL Sigma-Aldrich

    • Solubility: decomposes in water

    • Color/Form: White, Liquid or Solid

    • Safety and Handling: Danger!; Serious eye damage/eye irritation Category 1; Skin corrosion/irritation Category 1B; H318-Causes serious eye damage; H314-Causes severe skin burns and eye damage; Toxic Gases and Vapors, Acid Halides.

    Structural formula of 1-naphthoylchloride

    Structural formula of 1-naphthoylchloride

    Liquid appearance of 1-naphthoylchloride
    Liquid appearance of 1-naphthoylchloride

    Chemical Information About 1-Naphthoylchloride

    In the field of organic chemistry, an acyl chloride, also known as an acid chloride, refers to an organic compound that contains the functional group −C(=O)Cl. Its chemical formula is typically represented as R−COCl, where R represents a side chain. These compounds are considered reactive derivatives of carboxylic acids (R−C(=O)OH). Acyl chlorides constitute a significant subgroup within the category of acyl halides. Due to their inability to form hydrogen bonds, they exhibit lower boiling and melting points compared to similar carboxylic acids. Acyl chlorides with low molecular weight are often lachrymators, and they exhibit violent reactions when exposed to water, alcohols, and amines.

    1-Naphthoyl chloride is a metabolite derived from 1-naphthol. It has found applications in the synthesis of steroidal alkaloids, including the anti-inflammatory drug indomethacin and the anesthetic ketamine. Moreover, 1-Naphthoyl chloride serves as a precursor in the production of synthetic cannabinoids, which are substances that mimic the effects of cannabis but are not derived from marijuana. These synthetic cannabinoids interact with receptors present on specific cells that are sensitive to cannabinoids. This binding leads to alterations in cellular function and can induce psychological effects such as paranoia and hallucinations.

    Reactions involving 1-naphthoyl chloride:

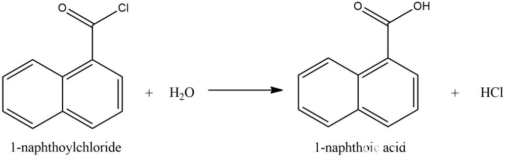
    When exposed to water, acyl chlorides undergo hydrolysis, resulting in the formation of the corresponding carboxylic acid and hydrochloric acid.

    1-Naphthoylchloride reaction with water

    1-Naphthoylchloride Reaction With Water

    The synthesis reaction of naphthoylindole, which is also employed in the synthesis of JWH derivatives. Figure 14.

     1-Naphthoylchloride Reaction With Indole
    1-Naphthoylchloride Reaction With Indole

    Synthesis of 1-Naphthoylchloride

    In laboratory settings, acyl chlorides are typically synthesized by treating carboxylic acids with thionyl chloride (SOCl2). This reaction is catalyzed by dimethylformamide (DMF) and other additives. Thionyl chloride is an ideal reagent for this purpose due to the gaseous nature of its by-products (HCl, SO2) and its low boiling point (76 °C), allowing easy removal of residual thionyl chloride. The catalytic role of DMF involves its reaction with oxalyl chloride to generate the Vilsmeier reagent, an iminium intermediate. This intermediate then reacts with the carboxylic acid, forming a mixed imino-anhydride. Through acyl substitution with the liberated chloride, the acid anhydride is formed, accompanied by the release of regenerated DMF. Oxalyl chloride, although more expensive than thionyl chloride, is a milder reagent, offering greater selectivity.

    General Scheme of 1-Naphthoylchloride Synthesis
    General Scheme of 1-Naphthoylchloride Synthesis


    Making thionyl chloride

    Conclusion

    1-Naphthoyl chloride is a typical representative of acyl chlorides. It serves as a metabolite of 1-naphthol and finds application in various synthesis processes. Notably, it has been utilized in the synthesis of steroidal alkaloids, including well-known pharmaceuticals such as the anti-inflammatory drug indomethacin and the anesthetic ketamine. Furthermore, 1-naphthoyl chloride plays a crucial role in the synthesis of derivatives of JWH, which are compounds of interest due to their potential pharmacological properties. Its versatile reactivity and wide range of applications make 1-naphthoyl chloride a valuable compound in organic synthesis.

    Bibliography

    1. https://materials.springer.com/substanceprofile/docs/smsid_ybxmowrnpdxkkvxe

    2. https://pubchem.ncbi.nlm.nih.gov/compound/1-Naphthoyl-chloride

    3. https://en.wikipedia.org/wiki/Acyl_chloride

    4. https://www.chemspider.com/Chemical-Structure.63334.html?rid=86ad3adf-4675-4cba-854b-dc9f8f4d6bb3

    5. https://www.sigmaaldrich.com/UA/en/product/aldrich/250252

    6. https://www.fishersci.co.uk/shop/products/1-naphthoyl-chloride-99-thermo-scientific/10409950

    7. https://en.wikipedia.org/wiki/Vaska%27s_complex

    8. Hartwig, John (2010). Organotransition Metal Chemistry: From Bonding to Catalysis. New York: University Science Books. p. 1160. ISBN 978-1-938787-15-7. https://onlinelibrary.wiley.com/doi/abs/10.1002/anie.201004890

    9. Martin Ansell (1972). “Preparation of acyl halides”. In Saul Patai (ed.). Acyl Halides. PATAI’S Chemistry of Functional Groups. pp. 35–68. doi:10.1002/9780470771273.ch2 https://onlinelibrary.wiley.com/doi/10.1002/9780470771273.ch2

    10. Giovanni Appendino, Alberto Minassia, Orazio Taglialatela-Scafati Recreational drug discovery: natural products as lead structures for the synthesis of smart drugs. Nat. Prod. Rep., 2014, 31, pp. 880-904. DOI: 10.1039/c4np00010b https://pubs.rsc.org/en/content/articlelanding/2014/NP/c4np00010b

  • Loading…
Top