JWH-018

  • Views Views: 97
  • Last updated Last updated:
  • JWH018 (AM-678) Guide

    Abstract

    JWH-018 is a type of analgesic chemical from the naphthoylindole family that functions as a full agonist at both the CB1 and CB2 cannabinoid receptors. It was first synthesized by Dr. John W. Huffman and has been discovered in herbal smoking blends like Spice. The analgesic effects of cannabinoid ligands, which are mediated by CB1 receptors, have been well established for the treatment of neuropathic pain, cancer pain, and arthritis. Individuals often smoke or vaporize cannabinoids in order to experience a quick onset of effects and rapid offset. JWH-018 can be taken orally when dissolved in a lipid, which can significantly increase its duration. It is insoluble in water but can be dissolved in ethanol and lipids, similar to other cannabinoids.JWH-018 in a solid state

    JWH-018 in a solid state

    JWH-018 in a liquid state

    JWH-018 in a liquid state

    This article provides a comprehensive overview of JWH-018, including its general information, physico-chemical properties, recreational pharmacology, effects and symptoms, street names, prices and approximate dosages, dangerous interactions, legal status, synthesis, conclusions, and bibliography. It is important to understand the potential dangers and risks associated with JWH-018 and other synthetic cannabinoids in order to promote safe and responsible drug use.

    JWH-018

    General Information About JWH 018

    Other synonyms names of JWH 018 are: 1-pentyl-3-(1-naphthoyl)-indole; naphthalen-1-yl(1-pentyl-1H-indol-3-yl)methanone; (1-Pentyl-1H-indol-3-yl)-1-naphthalenylmethanone

    • IUPAC Name of JWH 018: naphthalen-1-yl-(1-pentylindol-3-yl)methanone
    • CAS number is 209414-07-3
    • Trade names are JWH-018; JWH018; AM-678; Spice; K2

    Physico-Chemical Properties of JWH 018

    • Molecular Formula C24H23NO

    • Molar Weight 341.4 g/mol

    • Melting Point 54-60 °C

    • Solubility: Soluble in nonpolar solvents: Soluble in DMF (dimethylformamide), DMSO (dimethyl sulfoxide), EtOH (ethanol); Not soluble in water at 25ºC

    • Odor: Odorless

    • Color/Form: aspect : off-white powder; White solid

    • Note: The degradation of indole compounds such as JWH-018 results in a yellow-brown, gummy appearance due to melting point suppression. Samples of JWH-018 circulating as a gummy, rust-brown solid are highly oxidized samples of the compound, though appear to have degraded less than 5%.

    Structural formula of JWH-018
    Structural formula of JWH-018

    Spice and crystalline solid possible of the JWH-018 can be seen in the pictures.

    Powder of JWH-018Powder of JWH-018

    Spice packs
    Spice packs

    General Information of JWH 018 in Recreational Use and Pharmacology

    JWH-018 and its N-dealkylated metabolite were found in small amounts, with hydroxylated N-dealkylated metabolites being the primary signal. This suggests that hydroxylation occurs in both the naphthalene and indole portions of the molecule. Human metabolites were similar, although most metabolism occurred on the indole ring and pentyl side chain. The hydroxylated metabolites were extensively conjugated with glucuronide. Overall, these findings shed light on the metabolic pathways of JWH-018 and its metabolites in both rats and humans. It is important to understand the metabolism of these compounds in order to better understand their effects and potential risks to human health. Further research is needed to fully understand the complex mechanisms behind the metabolism of JWH-018 and other synthetic cannabinoids.

    Effects and symptoms of JWH 018 Use

    A 20-year-old man with a history of smoking an herbal mixture called “Spice Gold,” which typically contains CP-47,497-C8 and JWH-018, experienced withdrawal phenomena and a dependence syndrome after chronic consumption. He had been smoking the product daily for 8 months as the only relief from his internal unrest and nervousness. The patient found Spice to be relaxing and sedative, with psychoactive effects very similar to those of cannabis. After experiencing a similar syndrome during a period of abstinence due to a short supply, the patient voluntarily entered the hospital and requested medical treatment for detoxification of Spice. The first symptoms observed by doctors were internal unrest and profuse sweating, followed by drug craving, nocturnal nightmares, tremors, and headaches. Other physical withdrawal symptoms included palpitations, nausea and vomiting, which were similar to those described during cannabis withdrawal.

    The diagnosis of dependency was confirmed by the development of drug tolerance. The patient had to rapidly increase his dose from 1 to 3 g/day, felt a continuous strong desire for the drug, and had a persistent urge to consume it despite adverse consequences. Overall, this case highlights the potential for withdrawal and dependence associated with chronic consumption of Spice Gold, containing CP-47,497-C8 and JWH-018, and the need for greater awareness of the risks associated with these types of herbal blends.

    All effects in different categories

    Physical effects:

    • Spontaneous physical sensations – The “body high” of JWH-018 can be described as a warm, soft, and often full body tingling sensation that spreads over the body. It maintains a consistent presence that quickly rises with the onset and hits its limit once the peak has been reached before immediately dissipating. It is often described as being synthetic in feel and not as pleasant or as encompassing as the body high given by traditional cannabis. The JWH-018 body high has also been described by some as being slightly anxiety-inducing or even flat out uncomfortable when compared to the effects given by natural cannabinoids.

    • Sedation – Generally, the effects on the user’s energy levels are sedating. This encourages one to relax, lie down, and (at higher doses) fall asleep. It produces strong sedative effects that can be described as on par with 5F-PB-22 and more sedating when compared to THC, JWH-073, THJ-018, AM-2201, or 5F-UR-144 but less than that of 5F-AKB48.

    • Motor control loss – This substance causes a partial to moderate suppression of motor control which intensifies proportional to dose, but rarely results in a complete inability to walk and perform basic movements. This effect is usually more pronounced with JWH-018 than it is with normal cannabis. Reports at higher dosages describing bad trips describe a horrifying inability to move, as if the user is not in control of their own body. It can be compared to catatonia with convulsions.

    • Convulsions – These are generalized, sometimes painful spasms of the body or limbs that occur in moderate to high doses. They are not to be taken as seizures, which are much more serious.

    • Seizures – The seizures produced by JWH-018 usually only occur in high doses.

    • Appetite enhancement – As with many other cannabinoids, JWH-018 causes an increase in appetite, known colloquially as “the munchies” in popular American and United Kingdom culture. Clinical studies and survey data have found that cannabis increases food enjoyment and interest in food. This is thought to be due to the way in which endocannabinoids in the hypothalamus activate cannabinoid receptors that are responsible for maintaining food intake.

    • Dehydration – This is known colloquially as “cotton mouth” in popular American and United Kingdom culture. In overdoses, it can become not only discomforting, but even painful.

    • Vasodilation – Cannabinoids appear to decrease blood pressure by dilating the blood vessels and increasing blood flow throughout the body. The arteries in the eyeball expand from the decreased blood pressure and the heart rate increases to compensate for the reduction in pressure.

    • Increased heart rate JWH-018 causes tachycardia due to vasodilation. This may be mild, but can become severe.

    • Pain relief – Cannabinoids have been clinically demonstrated to provide pain relief via agonism of cannabinoid receptors CB1 and CB2, which extends to synthetic cannabinoid receptor agonists.

    • Perception of bodily heaviness or Perception of bodily lightness

    • Changes in felt gravity – JWH-018, like other cannabinoids, is capable of causing vertigo with which the environment appears to be spinning or oscillating. At moderate doses, it can spontaneously induce the sensation of falling, which can be overwhelming, anxiety-inducing, and extremely uncomfortable. The propensity of this is greatly reduced and eliminated in proportion to tolerance.

    Visual effects:

    • Colour enhancement

    • Acuity suppression

    • Geometry – As reported with other cannabinoids, JWH-018 can produce closed eye visuals at moderate doses, which can escalate into visual distortions such as a ripples in the field of vision upon continuous administration. Within users who also regularly use psychedelics, it is capable of inducing these consistently in a visual style which seems to be an averaged out depiction of all the psychedelics one has used within the past. These rarely extend beyond level 4 and are considered to be mild, fine, small and zoomed out but brighter and better defined than the geometry experienced with cannabis.

    Cognitive effects:

    • Emotion enhancement – The most prominent cognitive component of cannabinoids is the way in which they enhance the emotions one is already feeling proportional to dose. This can result in euphoria, extreme laughter, and increased immersion within tasks and activities, or it can result in anxiety and paranoia depending on the user’s current state of mind.

    • Euphoria – This can be considered very prominent in comparison to THJ-018, AM-2201, and 5F-UR-144 but less intense in comparison to JWH-073.

    • Thought connectivity – This can attribute to fluid, more abstract thinking in comparison to linear thought.

    • Anxiety – Subjectively, JWH-018 is less anxiogenic and stimulating than Δ9-THC, THJ-018, AM-2201, or 5F-UR-144 but more so than JWH-073. This effect is countered by use of benzodiazepines, other anti-anxiety agents, and a comfortable setting and also lessens with tolerance.

    • Panic attacks – JWH-018 is readily capable of inducing a panic attack at higher doses. Typically, it surfaces from paranoia, involves feelings of soon death, feelings of impending doom, and severe paranoia. Combined with the physical effects, these can be extremely overwhelming and may take several minutes of reassuring the user to calm them down. This effect is countered by use of benzodiazepines, other anti-anxiety agents, and a comfortable setting and also lessens with tolerance.

    • Conceptual thinking

    • Depersonalization

    • Derealization

    • Dream suppression

    • Immersion enhancement

    • Increased music appreciation

    • Analysis suppression

    • Memory suppression

    • Paranoia – All cannabinoids are capable of inducing paranoia at high doses or with chronic administration.

    • Psychosis – The prolonged usage of synthetic cannabinoids may increase one’s disposition to psychosis, particularly in vulnerable individuals with risk factors for psychotic illnesses (like a past or family history of schizophrenia).

    • Thought deceleration

    Auditory effects:

    • Enhancements

    • Distortions

    Street Names, Prices and Approximate Dosage

    “Spice Gold” (typically containing CP-47,497-C8 and JWH-018)

    “Spice Gold” (typically containing CP-47,497-C8 and JWH-018)

    The toxicity and long-term health effects of recreational JWH-018 use do not seem to have been studied in any scientific context and the exact toxic dosage is unknown. This is because the drug has very little history of human usage.

    The blend Spice Gold typically contains the synthetic cannabinoids CP-47,497-C8 and JWH-018. The potential long-term health effects and toxicity of JWH-018 have not been extensively studied, and the exact toxic dosage is unknown as there is limited history of human usage. As a full agonist of the CB1 receptors, JWH-018 has the potential for more severe harm than partial agonists like Δ9-THC. It has been associated with seizures, convulsions, and strokes, likely due to its effective inhibition of GABA neurotransmission. In addition, chronic use of JWH-018 can exacerbate pre-existing psychological conditions such as paranoia, anxiety, and agitation, and may increase the risk of developing psychotic illnesses in vulnerable individuals. Harm reduction practices should be used when consuming this drug. Dosages range from less than 1mg to over 5mg, and the effects can last up to 2 hours. The price of JWH-018 varies, with 100g costing around $630 and 1kg costing approximately $1900.

    Dosage:

    • Threshold < 1 mg;

    • Light 1 – 2 mg;

    • Common 2 – 3 mg;

    • Strong 3 – 5 mg;

    • Heavy 5 mg +

    Duration:

    • Total 1 – 2 hours;

    • Onset 5 – 10 minutes;

    • Peak 60 – 90 minutes;

    • Offset 5 – 10 minutes;

    • After effects 60 – 90 minutes

    Dangerous interactions

    Mixing substances can be dangerous and lead to unpredictable effects. When combining 2C-T-x, 2C-x, 5-MeO-xxT, aMT, cocaine, DMT, DOx, LSD, mescaline, mushrooms, or 25x-NBOMe with amphetamines or stimulants, anxiety levels can increase, and thought loops can lead to negative experiences. It is important to be cautious when using these substances together.

    When using cannabinoids with psychedelics, there is a risk of intensifying and extending the visual and cognitive effects, which can be overwhelming for inexperienced users. It is crucial to use caution when combining these substances.

    Combining cannabinoids with dissociatives can enhance the geometry, euphoria, dissociation, and hallucinatory effects. It is essential to be mindful of the potential for unexpected effects when combining these substances.

    When using cannabinoids with alcohol, extreme nausea, dizziness, and changes in gravity can occur. It is recommended to smoke before drinking and to avoid smoking after drinking, unless one is extremely cautious. It is essential to remember to use harm reduction practices when using any substances.

    Legal Status

    JWH-018 is a synthetic cannabinoid that has been subject to a variety of legal regulations in many countries. In general, its use and possession are prohibited in most jurisdictions, as it is often classified as a Schedule I or Schedule II controlled substance.

    In the United States, JWH-018 was permanently scheduled as a Schedule I controlled substance in 2012, making it illegal to manufacture, distribute, import, export, or possess the drug. Similarly, many other countries, including Australia, Austria, Belarus, Brazil, Canada, China, Estonia, Finland, France, Germany, Ireland, Italy, Latvia, Lithuania, Luxembourg, Norway, Poland, Romania, Russia, South Korea, Sweden, Switzerland, Turkey, and Ukraine, have also banned JWH-018.

    The specific legal classification of JWH-018 can vary depending on the jurisdiction, but it is generally considered to be a dangerous drug that poses a risk to public health and safety. The reasons for these bans typically involve concerns about the potential for abuse, addiction, and harm to the user, as well as the drug’s potential for illegal trafficking and distribution.

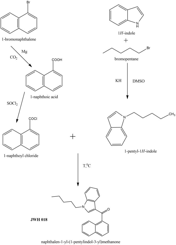
    Synthesis of JWH 018

    JWH 018 is an indolecarboxamide. The synthesis of JWH-018 involves the reaction of 1-naphthoyl chloride with 1-pentyl-1H-indole under heat, followed by dissolving the resulting substance in ethanol or another solvent and crystallizing it. The synthesis process is shown on the picture.

    General scheme of JWH-018 synthesis
    General scheme of JWH-018 synthesis

    JWH-018 Synthesis

    Conclusion

    JWH-018 is a synthetic cannabinoid that can be orally active when dissolved in a lipid, leading to longer-lasting effects. However, it is important to note that chronic abuse of synthetic cannabinoids, including JWH-018, has been linked to severe adverse effects and even fatalities. It is highly recommended to avoid using this substance for extended periods of time or in excessive doses. As with any psychoactive substance, caution and moderation are key to minimizing potential risks and harms.

    Bibliography

    1. https://en.wikipedia.org/wiki/JWH-018

    2. https://pubchem.ncbi.nlm.nih.gov/compound/10382701

    3. https://psychonautwiki.org/wiki/JWH-018

    4. https://psychonautwiki.org/wiki/JWH-018/Summary

    5. https://erowid.org/experiences/subs/exp_JWH018.shtml

    6. https://drugs-forum.com/wiki/JWH-018#Chemical_characteristics

    7. Liana Fattore, Walter Fratta Beyond THC: the new generation of cannabinoid designer drugs. Front. Behav. Neurosci., 2011, Sec. Motivation and Reward, volume 5, 60. https://doi.org/10.3389/fnbeh.2011.00060 https://www.frontiersin.org/articles/10.3389/fnbeh.2011.00060/full

    8. Martín-Sánchez, E., Furukawa, T. A., Taylor, J., Martin, J. L. R. Systematic Review and Meta-analysis of Cannabis Treatment for Chronic Pain. Pain Medicine, 2009, 10, 8, pp. 1353–1368. https://doi.org/10.1111/j.1526-4637.2009.00703.x https://academic.oup.com/painmedicine/article/10/8/1353/1857926

    9. Lynch, M. E., Campbell, F. Cannabinoids for treatment of chronic non-cancer pain; a systematic review of randomized trials: Cannabinoids for pain. British Journal of Clinical Pharmacology, 2011, 72, 5, pp. 735–744. https://doi.org/10.1111/j.1365-2125.2011.03970.x https://bpspubs.onlinelibrary.wiley.com/doi/10.1111/j.1365-2125.2011.03970.x

    10. Every-Palmer, S. Synthetic cannabinoid JWH-018 and psychosis: An explorative study”. Drug and Alcohol Dependence, 2011, 117, 2–3, pp. 152–157. https://doi.org/10.1016/j.drugalcdep.2011.01.012 https://www.sciencedirect.com/science/article/abs/pii/S0376871611000639?via%3Dihub

    11. Schneir, A. B., Cullen, J., Ly, B. T. “Spice” Girls: Synthetic Cannabinoid Intoxication. The Journal of Emergency Medicine, 2011, 40, 3, pp. 296–299. https://doi.org/10.1016/j.jemermed.2010.10.014 https://www.jem-journal.com/article/S0736-4679(10)00880-2/fulltext

    12. Vearrier, D., Osterhoudt, K. C. A Teenager With Agitation: Higher Than She Should Have Climbed. Pediatric Emergency Care, 2010, 26, 6, pp. 462–465. DOI: 10.1097/PEC.0b013e3181e4f416 https://journals.lww.com/pec-online/Citation/2010/06000/A_Teenager_With_Agitation__Higher_Than_She_Should.16.aspx

    13. Yigit Sezer, Ayse Tarbin Jannuzzi etc. In vitro assessment of the cytotoxic, genotoxic and oxidative stress effects of the synthetic cannabinoid JWH-018 in human SH-SY5Y neuronal cells. Toxicology Research, 2020, Volume 9, Issue 6, pp. 734–740. https://doi.org/10.1093/toxres/tfaa078 https://academic.oup.com/toxres/article/9/6/734/5954199?login=false

    14. Atwood, B. K., Huffman, J., Straiker, A., Mackie, K. “JWH018, a common constituent of ‘Spice’ herbal blends, is a potent and efficacious cannabinoid CB 1 receptor agonist: ‘Spice’ contains a potent cannabinoid agonist”. British Journal of Pharmacology, 2010, 160, 3, pp. 585–593. https://doi.org/10.1111/j.1476-5381.2009.00582.x https://bpspubs.onlinelibrary.wiley.com/doi/10.1111/j.1476-5381.2009.00582.x

    15. “THEMATIC PAPERS: Understanding the ‘Spice’ phenomenon”. European Monitoring Centre for Drugs and Drug Addiction (EMCDDA). 2009. doi:10.2810/27063. https://op.europa.eu/en/publication-detail/-/publication/ed72d483-8953-4d42-923b-6f66d6fa0bdd/language-en

    16. Freeman, M. J., Rose, D. Z., Myers, M. A., Gooch, C. L., Bozeman, A. C., Burgin, W. S. Ischemic stroke after use of the synthetic marijuana “spice”. Neurology, 2013, 81, 24, pp. 2090–2093. https://doi.org/10.1212/01.wnl.0000437297.05570.a2 https://n.neurology.org/content/81/24/2090

    17. Every-Palmer, S. WARNING: LEGAL SYNTHETIC CANNABINOID-RECEPTOR AGONISTS SUCH AS JWH-018 MAY PRECIPITATE PSYCHOSIS IN VULNERABLE INDIVIDUALS. Addiction, 2010, 105, 10, pp. 1859–1860. https://doi.org/10.1111/j.1360-0443.2010.03119.x https://onlinelibrary.wiley.com/doi/10.1111/j.1360-0443.2010.03119.x

    18. Giovanni Appendino, Alberto Minassia, Orazio Taglialatela-Scafati Recreational drug discovery: natural products as lead structures for the synthesis of smart drugs. Nat. Prod. Rep., 2014, 31, pp. 880-904. DOI: 10.1039/c4np00010b https://pubs.rsc.org/en/content/articlelanding/2014/NP/c4np00010b

  • Loading…
Top