MDP1P

  • Views Views: 48
  • Last updated Last updated:
  • MDP1P Guide

    Introduction

    MDP1P, also known as 3,4-Methylenedioxypropiophenone, is a precursor for the synthesis of Methylone. This article presents a comprehensive overview of MDP1P, including its general information, physico-chemical properties, pharmacology in recreational use, effects and symptoms, hepatotoxicity, use street names, prices and approximate dosage, dangerous interactions, legal status, synthesis of MDP1P , conclusion, and bibliography.

    Structure of MDP1P

    Structure of MDP1P

    General Information About MDP1P

    Other synonyms names of MDP1P are: 1-(benzo[d][1,3]dioxol-5-yl)propan-1-one; 1-(1,3-Benzodioxol-5-yl)-1-propanone; 3′,4′-(Methylenedioxy)propiophenone; 1-(1,3-Benzodioxol-5-yl)propan-1-one; 1-Propanone, 1-(1,3-benzodioxol-5-yl)-; 3′,4′-Methylenedioxypropiophenone; 3,4-Methylenedioxypropiophenone; 5-Propanoyl-1,3-benzodioxole; 3,4-Methylenedioxyphenyl ethyl ketone; 3,4-Methylenedioxy Propiophenone

    • IUPAC Name of MDP1P: 1-(1,3-benzodioxol-5-yl)propan-1-one
    • CAS number: 28281-49-4
    • Trade name: MDP1P

    Different analogs of MDP1P and MDP2P

    Different analogs of MDP1P and MDP2P

    Physico-Chemical Properties of MDP1P

    • Molecular Formula C10H10O3

    • Molar Weight 178.18 g/mol

    • Boiling point 165-168 °C (20 mmHg); 312.9286-316.8494 °C (760 mmHg)

    • Melting Point 35-39 °C

    • Density 1.21 g/mL

    • Index of Refraction 1.546

    • Solubility: Water Solubility 704.9 mg/L at 25 °C

    • Color/Form: solid

    Powder and crystalline solid MDP1P

    Powder and crystalline solid MDP1P

    Chemical Information of MDP1P

    3,4-Methylenedioxypropiophenone (MDP1P) is a synthetic compound with a fatty acid chain that exhibits remarkable properties. It has demonstrated potent activity against leishmania, making it a promising candidate for further research and development. Additionally, MDP1P serves as a crucial intermediate in the synthesis of various drugs.

    The synthesis of 3,4-Methylenedioxypropiophenone involves acylation reactions utilizing chloride and acetylcholinesterase inhibition. Its unique molecular docking properties have been extensively analyzed using computational methods like profiling and profile analysis.

    Apart from its synthetic origins, 3,4-Methylenedioxypropiophenone is also found naturally in some Piper plant species. Notably, studies have shown that it can either dominate the essential oil of Piper marginatum or be completely absent from it. The chemical’s prevalence varies across different regions, with the highest concentrations observed in Manaus, Melgaço, Belterra, Monte Alegre, and Alta Floresta.

    MDP1P plays a pivotal role as a precursor in the synthesis of methylone and various other substituted methylenedioxy-phenethylamine derivatives. One common method of preparation involves the Grignard reaction between ethylmagnesium bromide and piperonylonitrile.

    In the United States, MDP1P is not classified as a scheduled drug at the federal level nor listed by the DEA as a controlled substance. However, it’s important to note that “3,4-methylenedioxy-propiophenone,” along with “2-Bromo-3,4-Methylenedioxypropiophenone” and “3,4-methylenedioxy-propiophenone-2-oxime,” are classified as Schedule I controlled substances in the state of Florida, making their purchase, sale, or possession illegal in that jurisdiction.

    Chemical reactions

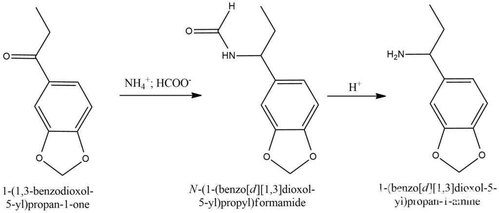
    The Leuckart-Wallach reaction is a highly useful chemical transformation that enables the conversion of carbonyl compounds, such as ketones or aldehydes, into amines. This reaction serves as a valuable method for synthesizing primary and secondary amines.

    In the Leuckart-Wallach reaction, the carbonyl compound reacts with formic acid (HCOOH) and an amine, typically ammonium formate (NH4HCO2), under elevated temperatures. The reaction proceeds through a series of steps, starting with the formation of an imine intermediate, followed by subsequent reduction and rearrangement processes. Ultimately, the carbonyl group is transformed into an amine group.

    1-(1,3-benzodioxol-5-yl)propan-1-one in the Leuckart-Wallach reaction

    1-(1,3-benzodioxol-5-yl)propan-1-one in the Leuckart-Wallach reaction

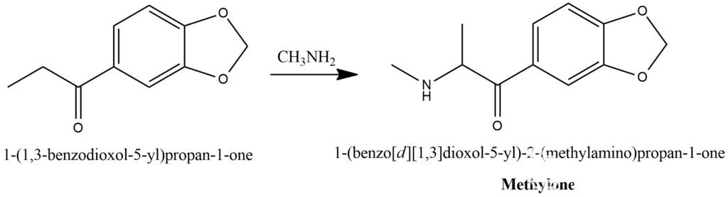
    Methylone, also known as 3,4-methylenedioxy-N-methylcathinone (MDMC) synthesis from MDP1P.

    Methylone synthesis scheme

    Methylone synthesis scheme

    Synthesis of MDP1P

    MDP1P serves as a valuable precursor for the synthesis of methylone and a range of other substituted methylenedioxy-phenethylamine derivatives. Its preparation involves a Grignard reaction, wherein ethylmagnesium bromide reacts with piperonylonitrile. The synthesis of MDP1P follows a specific scheme depicted on the following scheme.

    Scheme of MDP1P synthesis from piperonylonitrile

    1,2-methylenedioxybenzene (MDB) acylation with propionic anhydride (AP) yielding 3,4-methylenedioxypropiophenone (MDP1P) and propionic acid (PA).

    Scheme of MDP1P synthesis from 1,2-methylenedioxybenzene (MDB)

    Scheme of MDP1P synthesis from 1,2-methylenedioxybenzene (MDB)

    Conclusion

    MDP1P is a structural isomer of MDP2P. It is present in certain plants of the Piper genus. It is used in the synthesis of the drug methylenedioxypyrovalerone (MDPV), Methylone and similar compounds.

    Bibliography

    1. https://pubchem.ncbi.nlm.nih.gov/compound/1-_1_3-Benzodioxol-5-yl_-1-propanone

    2. https://www.molinstincts.com/structure/1-benzo-d-1-3-dioxol-5-yl-propan-1-one-cstr-CT1002701514.html

    3. http://www.chemspider.com/Chemical-Structure.86372.html

    4. https://en.wikipedia.org/wiki/3,4-Methylenedioxypropiophenone

    5. https://www.biosynth.com/p/FM25828/28281-49-4-34-methylenedioxy-propiophenone

    6. https://www.sigmaaldrich.com/UA/en/product/aldrich/cds001550

    7. https://en.wikipedia.org/wiki/Methylone

    8. Schiaroli, Nicola, et al. "Superacid Resin‐Based Heterogeneous Catalysts for the Selective Acylation of 1, 2‐Methylenedioxybenzene." ChemSusChem 16.21 (2023): e202300903. https://chemistry-europe.onlinelibrary.wiley.com/doi/abs/10.1002/cssc.202300903

    9. https://en.wikipedia.org/wiki/Methylenedioxypyrovalerone

  • Loading…
Top